UMB Alternative Work Schedules Policy and Procedures
VII-99.00(A) | Human Resources | Approved May 1, 2013
Responsible VP/AVP: Dawn M. Rhodes, DBA, MBA
Applies to: Faculty, Staff
Revision History
signed by Dr. Perman 4/16/13 and effective 5/1/13
Purpose
Policy Statement
I. PURPOSE AND SCOPE
This Policy and Procedures define Alternative Work Schedules for fulltime employees in the regular and Contingent Category II groups. This Policy and Procedures apply to exempt and non-exempt employees. This Policy and Procedures do not apply to faculty, Contingent Category I employees, and part-time employees.
Eligible employees may voluntarily work on an Alternative Work Schedule after following the Procedures below to obtain an approved schedule, documented in a written acknowledgment. No eligible employee is required to propose or accept an Alternative Work Schedule. Availability of an Alternative Work Schedule is subject to approval, and the requirements set forth in written acknowledgments as required by this Policy and Procedures.
II. DEFINITIONS
A. Alternative Work Schedule: A Compressed Work Schedule or a Flextime Schedule.
B. Alternative Work Schedule Acknowledgment: An acknowledgment of responsibilities by UMB and an employee authorizing an Alternative Work Schedule in accordance with this Policy and Procedures.
C. Compressed Work Schedule: An Alternative Work Schedule with the Standard Workday lengthened to allow for fewer than five (5) workdays scheduled each Standard Workweek and/or fewer than ten (10) workdays scheduled in a biweekly pay period. Acceptable Compressed Work Schedules are the 4/10 Schedule and the 5-4/9 Schedule, as defined below.
- 4/10 Schedule: A Compressed Work Schedule consisting of 80 hours in a biweekly pay period, worked over four ten-hour workdays, with one scheduled day off, in each Workweek. See examples at Appendix B.
- 5-4/9 Schedule: A Compressed Work Schedule consisting of 80 hours in a biweekly pay period worked over nine workdays, with one scheduled day off. The 5-4/9 Schedule must include, within each biweekly pay period, (1) in one Standard Workweek, five workdays of nine hours, and (2) in the other Standard Workweek, three workdays of nine hours each, one workday of eight hours, and one day off. See examples at Appendix C.
D. Core Hours: The hours of scheduled workdays in a Workweek when an employee on a Flextime Schedule is required to be on duty at the employee’s approved worksite, on approved travel or in a leave status.
F. Exempt Employees: Employees in positions that are not eligible for overtime pay, as determined by UMB.
G. Flexible Bands: A range of daily work hours set by a supervisor in which an employee on a Flextime Schedule may choose to start and/or end his or her work times as long as the standard daily work hour total required of the employee is met.
H. Flextime Schedule: An Alternative Work Schedule with modifications of the Standard Workday or Compressed Schedule Workday, designating Core Hours and work hours within Flexible Bands.
I. Non-exempt Employees: Employees in positions that are eligible for overtime pay, as determined by UMB.
J. Overtime Work: Compensable work of Non-exempt Employees in excess of 40 hours in a Standard Workweek that is officially ordered or approved in advance.
K. Standard Workday: Eight work hours, plus a one-hour or thirty-minute meal break.
L. Standard Workweek: For full-time staff, the period from 12:01 a.m. Sunday to 12 midnight the following Saturday, typically reflecting the basic work requirement of eight (8) work hours plus a one (1) hour or a thirty (30) minute meal break, per day, on five (5) consecutive work days. [See UMB Policy VII-6.10(A). For nonexempt staff, see the Memorandum of Understanding between UMB and AFSCME.]
M. Telework Arrangement: An arrangement between UMB and an employee authorizing telework in accordance with UMB policy and the UMB-AFSCME Memorandum of Understanding.
III. POLICY
A. Eligibility.
- With the exception of Contingent Category I staff, medical residents, and post-doctoral fellows, all full-time staff employees are generally eligible to voluntarily propose an Alternative Work Schedule, with approval of a proposal subject to the operational needs of the department or the employee’s position and to past and continuing satisfactory performance by the employee.
- Alternative Work Schedules are not appropriate for all positions, all settings, or all positions in a department or work unit. An Alternative Work Schedule should not negatively affect the workload or productivity of coworkers by shifting burdens, creating delays, or resulting in additional steps in work flow.
- Due to limitations under federal wage and hour laws, full-time Non-Exempt Employees are not eligible for a 5-4/9 Schedule.
- Availability of an Alternative Work Schedule must not be considered as a term and condition of employment. A specific Alternative Work Schedule should not be defined as a term and condition of employment or addressed in an employment offer letter.
B. Assessment.
- Proposals for Alternative Work Schedules must be assessed by the department/work unit supervisor to determine the effect that establishing the proposed Alternative Work Schedule may have on operations and the contributions of the position to the department/work unit.
- Alternative Work Schedules are not encouraged during a regular employee’s probationary period and during the initial six months of employment of a Contingent Category II employee. This is due to the needs to clarify job responsibilities; to establish relationships with co-workers, other UMB employees, clients, patients and customers; and to assess a new employee’s suitability for continued employment. The supervisor should carefully assess each proposal to determine whether a probationary employee or a recently hired Contingent Category II employee should be allowed to have an Alternative Work Schedule.
- Factors such as punctuality, attendance, performance, the need for intermittent leave use, and the need for close supervision should be considered in decisions about proposals for an Alternative Work Schedule and in the supervisor’s decisions concerning change, renewal and continuation of an Alternative Work Schedule. Denials of proposed Alternative Work Schedules will be for appropriate business reasons. The decisions of the supervisor are within his/her discretion and are final.
- Supervisors are responsible for deciding whether to approve a proposal for an Alternative Work Schedule, for executing the required Acknowledgment of Alternative Work Schedule Requirements, and for monitoring compliance with the Acknowledgment.
C. Assignment.
- An employee who does not have an approved Alternative Work Schedule should be at the employee’s assigned workplace (which may be a workplace established under a Telework Arrangement) every UMB business day (or other assigned workday), or be on approved travel or approved leave.
- For Non-Exempt Employees, approved Overtime Work (more than 40 hours in a Standard Workweek) is compensated by overtime payments or compensatory leave, as determined under other policies and federal law.
- The nature of an Exempt position may require a full-time Exempt Employee to work more than 40 hours in a Standard Workweek without additional compensation. Correspondingly, the nature of an Exempt position may require an Exempt Employee, including one with an Alternative Work Schedule, to work on scheduled days off and/or hours in excess of their scheduled workday. For Exempt Employees, extra hours worked on a workday or in a workweek may not be used as a credit towards the employee’s time off from work on a future workday.
D. Termination and Suspension of Alternative Work Schedule.
An Alternative Work Schedule may be discontinued or suspended by a supervisor in the event of emergencies, performance concerns, or operational needs. In such situations, an employee on an Alternative Work Schedule may be required to work on days not included in the existing Alternative Work Schedule. With the exception of emergencies, discontinuation of an Alternative Work Schedule by a supervisor requires five business days written notice to the employee. An employee discontinuing their Alternative Work Schedule must provide five business days written notice to the supervisor.
E. Flextime Schedule Hours.
- For an employee with a Flextime Schedule, work must be performed within the designated Flexible Band of hours and the employee must be at work, on travel or on approved leave during the Core Hours. Core Hours for an employee are set by the supervisor, taking into account the requirements of a position and the operational needs of the department/work unit. Core Hours may vary among the employees in a department/work unit. See examples at Appendix D.
- Flextime Schedules are intended to provide Exempt and Non-Exempt Employees some flexibility (within the Flexible Bands determined by the supervisor) to shift the starting and ending times of their workday without prior supervisory approval. Flextime Schedules are not intended to allow employees to change their scheduled workdays or the minimum number of hours required of each workday without supervisory approval.
F. Applicability. This Policy and Procedures apply to all situations, except for those work units or components where operations require that all assigned employees work an alternate 4/10 or 5-4/9 schedule or other assigned shift schedule.
IV. PROCEDURES
A. Supervisor Responsibilities. Supervisors should explain to eligible employees in a department how and why Alternative Work Schedules function.
- If more employees propose Alternative Work Schedules than a department or work unit can reasonably manage, a supervisor, within his/her discretion, shall evaluate and respond to proposals in ways that are fair and in the best interest of UMB.
- When several employees within a department/work unit are approved for Alternative Work Schedules, the fixed regular days off or work hours of those employees are to be coordinated and scheduled by the supervisor to best address operational needs of the department/work unit.
B. Managing Alternative Work Schedules.
- An employee should initiate a proposal for an Alternative Work Schedule by submitting a proposal in writing to his/her supervisor. The supervisor will consider the proposal and respond to it.
- If the employee and the supervisor agree to an Alternative Work Schedule arrangement, the employee and the supervisor shall document the type of Alternative Work Schedule, the hours to be worked, and if applicable, the day(s) approved to be the scheduled day(s) off in a biweekly pay period.
C. Acknowledgment. An Acknowledgment of Alternative Work Schedule Requirements must be signed and kept on file with the time and labor records of the department or work unit. The employee and the supervisor both must sign the Acknowledgment, and it shall be effective for specific periods of time, with a date set for review and reconsideration. Significant modifications and/or renewals also shall be documented appropriately. The Acknowledgment of Alternative Work Schedule Requirements form is found at Appendix A.
D. Work Hours. An employee with an Alternative Work Schedule shall work on the schedule agreed.
- Exempt Employees may work different hours and days with prior approval of their supervisors (except that approval is not required to work additional hours or days in order to meet position responsibilities).
- Non-exempt Employees may work different or additional hours or days than stated in the Acknowledgment with prior approval from their supervisors.
E. Communication. An employee’s supervisor shall maintain open communication with an employee on an Alternative Work Schedule, shall ensure that the employee’s work does not fall below the required hours and remains on the scheduled days, and shall discuss with the employee any concerns as they arise. Employees on Flextime Schedules shall extend the courtesy of providing notice to their supervisors when they significantly deviate from their usual chosen working hours.
F. Trial Period. With the exception of emergencies, an Alternative Work Schedule may be initiated on a trial basis, and may be suspended or discontinued at any time during the trial period by the employee or the supervisor. In such instances, five business days written notice is required.
G. Effect of Leave and Holidays on Compressed Work Schedules. As a condition of gaining the benefit of a Compressed Work Schedule requiring fewer than ten (10) workdays in a biweekly pay period, an employee who takes a leave day is required to use the number of hours of leave that corresponds to the employee’s scheduled work hours for the day leave is taken.
- Holidays Worked. When a paid holiday falls on an employee’s scheduled workday in a Compressed Work Schedule, the employee will be paid for the number of hours that have been scheduled and worked for that workday. No partial days will be scheduled or worked. If the employee works the holiday scheduled, the employee will earn and accrue eight (8) hours of holiday leave. A substitute day off will be granted, normally within 90 days of the holiday worked, but within the same calendar year. On a substitute day off, the employee must use accrued leave equal to the usual scheduled hours for that workday.
- Holidays Not Worked. When a paid holiday falls on an employee’s scheduled day off in a Compressed Work Schedule, the employee will earn and accrue eight (8) hours of holiday leave to be used on a substitute day off, normally within 90 days of the holiday, but within the same calendar year. On a substitute day off, the employee must use accrued leave equal to the usual scheduled hours for that workday.
- Absences that occur as a result of being on other types of approved leave will be charged based on the actual time utilized up to the total amount of hours scheduled for that particular workday.
- Partial Day Absences. Partial day absences that occur as a result of use of annual leave, sick leave or other leave will require charging the number of hours the employee was absent.
- Absences of At Least One Full Day or More. Full day absences that occur as a result of use of annual leave, sick leave or other leave will require charging the number of hours the employee was normally scheduled to work on the specified day (e.g., an employee scheduled to work 10 hours who is absent due to a vacation or illness, must have 10 hours of annual, personal or sick leave time deducted from his/her leave accruals).
- Leave for Miscellaneous Reasons Occurring on an Employee’s Regularly Scheduled Workday (e.g., Jury Duty, Legal Actions,
Service as an Election Judge, Disaster Service).
Leave for these reasons shall be paid for the number of hours of work scheduled for the day that the employee was actually involved with the activity. If jury duty or leave for legal actions continues for longer than one workweek, the employee will revert back to a Standard Workday/Standard Workweek schedule until the activity is concluded. Administrative leave up to a maximum of 8 hours only is allowed for each day of service as an election judge. Time spent in such activities on an employee’s regularly scheduled day(s) off will not be paid, since the employee was not scheduled to work on that day. - Administrative Leave Occurring on an Employee’s Regularly Scheduled Workday. Administrative Leave shall be paid for the number of hours of work scheduled for the day that the employee was actually on administrative leave. If the administrative leave continues for longer than one workweek, the employee will revert back to a Standard Workday/Standard Workweek schedule until the administrative leave is concluded. Administrative leave approved on an employee’s regularly scheduled day off will not be paid, since the employee was not scheduled to work on that day.
Policy Effective: May 1, 2013
Approved by the President: ____________________________ (Jay A. Perman, MD)
Approval Date: _____________________________________
Appendix A
ACKNOWLEDGMENT OF ALTERNATIVE WORK SCHEDULE REQUIREMENTS
Flextime Scheduling/Compressed Work Schedule
This Acknowledgment specifies the requirements applicable to an Alternative Work Schedule arrangement for:
Employee Name Title
Supervisor Department/Work Unit
Compressed Workweek – 4/10 Schedule (workweek 1) ------- Scheduled Day Off - _______________
Compressed Workweek – 4/10 Schedule (workweek 2) ------- Scheduled Day Off - _______________
Compressed Workweek – 5-4/9 Schedule (workweek 1)* ----- Scheduled Day Off - _______________
Compressed Workweek – 5-4/9 Schedule (workweek 2)* ------ Scheduled Day Off - _______________
* - Not available for Non-Exempt Employees.
Flextime Schedule (includes compressed work schedules)
Core Hours - from _________ a.m./p.m. to __________ a.m./p.m.
Starting Flexible Band - from _________ a.m./p.m. to __________ a.m./p.m.
Ending Flexible Band - from _________ a.m./p.m. to __________ a.m./p.m.
This Alternative Work Schedule begins on ____________________ & continues until _____________________
- Days and hours when the employee is normally expected to be in the unit/department are:
Pay Period Workweek One
Sunday __________a.m./p.m. to__________ a.m./p.m. with __________ minute lunch period
Monday __________a.m./p.m. to __________a.m./p.m. with __________ minute lunch period
Tuesday __________a.m./p.m. to __________a.m./p.m. with __________ minute lunch period
Wednesday __________a.m./p.m. to __________a.m./p.m. with __________ minute lunch period
Thursday __________a.m./p.m. to __________a.m./p.m. with __________ minute lunch period
Friday __________a.m./p.m. to __________a.m./p.m. with __________ minute lunch period
Saturday __________a.m./p.m. to __________a.m./p.m. with __________ minute lunch period
Pay Period Workweek Two
Sunday __________a.m./p.m. to __________a.m./p.m. with __________ minute lunch period
Monday __________a.m./p.m. to __________a.m./p.m. with __________ minute lunch period
Tuesday __________a.m./p.m. to __________a.m./p.m. with __________ minute lunch period
Wednesday __________a.m./p.m. to __________a.m./p.m. with __________ minute lunch period
Thursday __________a.m./p.m. to __________a.m./p.m. with __________ minute lunch period
Friday __________a.m./p.m. to __________a.m./p.m. with __________ minute lunch period
Saturday __________a.m./p.m. to __________a.m./p.m. with __________ minute lunch period
- The following plan and timetable for monitoring the appropriateness and effectiveness of this arrangement are acknowledged:
- [For Non-exempt Employees only] The employee acknowledges that any additional work which might involve overtime must be approved in advance by their supervisor.
- The employee agrees that all obligations, responsibilities, terms and conditions of employment with UMB remain unchanged, except those obligations and responsibilities specifically addressed in this Acknowledgment.
- The employee agrees that a supervisor reserves the right to modify or suspend this Acknowledgment in the event of unanticipated circumstances regarding operational needs, employee performance or similar necessity.
I acknowledge by my signature that I have read the Alternative Work Schedule Policy and applicable guidelines, and understand and agree to all of their provisions.
Employee Signature Date
Supervisor’s Signature Date
The Acknowledgment shall be maintained in the department/unit time and leave records, with copies to the:
- The employee
- Employee’s Supervisor
- Department head
- Human Resource Services (ER/LR)
Appendix B
Sample Compressed Work Schedules - 4/10 Schedule Without Flextime
(4 workdays per workweek, 10 hours per workday)
|
Workweek 1 |
Workweek 2 |
|---|---|
|
Su M T W Th F Sa |
Su M T W Th F Sa |
|
a) X 10 10 10 10 X X |
X 10 10 10 10 X X |
a) The employee works Monday through Thursday each week with Friday, Saturday and Sunday as scheduled days off each week.
b) The employee works Tuesday through Friday each week with Saturday, Sunday and Monday as scheduled days off.
c) The employee works Tuesday through Friday during the first week of the payroll period with Saturday and Sunday off and then Monday through Thursday during the second week with Friday, Saturday, Sunday and Monday as scheduled days off.
d) The employee works Monday and Tuesday with Wednesday as a scheduled day off and works Thursday and Friday each week (This is an illustrative schedule for the purpose of showing a mid-week day off).
e) This schedule shows a day of annual leave (A) on Monday of the first week and a day of sick leave (S) for Wednesday of the second week. The employee must use 10 hours of annual and 10 hours of sick leave to cover the absences on these work days.
f) This schedule shows a Holiday (H) on Monday of the first week and Jury Duty (J) on Thursday of the second week. The employee must use 10 hours of holiday leave to cover the first absence and receives ten (10) hours pay for the day of jury duty.
g) This schedule shows a day of leave in the first week to serve as an Election Judge (E). University System of Maryland (USM) allows employees to use one hour of paid administrative leave for each hour of service as an election judge up to a total of eight (8) hours for each day of service without loss of pay or charge to any leave. In this schedule, the employee would receive eight hours of administrative leave and would be required to charge two (2) hours of annual or personal leave to cover the daily work schedule.
Appendix C
Sample Compressed Work Schedules - 5-4/9 Schedule Without Flextime
(9 workdays per pay period)
|
Workweek 1 |
Workweek 2 |
|---|---|
|
Su M T W Th F Sa |
Su M T W Th F Sa |
|
a) X 9 9 9 9 9 X |
X 9 9 9 8 X X |
a) The employee works Monday through Friday, nine (9) hours per day during the first week and Monday through Wednesday, nine (9) hours per day and Thursday, eight (8) hours during the second week with Friday, Saturday and Sunday as scheduled days off (every other week).
b) The employee works Tuesday through Friday, nine hours per day during the first week and Monday through Thursday, nine (9) hours per day and Friday, eight (8) hours during the second week with Saturday, Sunday and Monday as scheduled days off (every other week).
c) The employee works nine hours on Monday through Friday in the first week and nine hours Monday and Tuesday with Wednesday as the scheduled day off and nine hours on Thursday and eight hours on Friday. (This is an illustrative schedule for the purpose of showing a mid-week day off).
*** For examples of leave usage, see sample schedules at Appendix B for the 4/10 work schedule, where the same concepts will apply to the 5-4/9 schedules.
For the 5/4-9 Work Schedule, the employee would be required to charge nine (9) or eight (8) hours of leave for requested and approved annual, sick, personal and holiday leave taken. For all other leave examples above, the employee will receive nine (9) or eight (8) hours of pay without charge to leave, with the exception of leave to serve as an election judge (the employee would be paid for a maximum of eight (8) hours and could be required to charge one hour to annual or personal leave.
Appendix D
Flextime Scheduling Example 1
Standard Five 8-hour Workdays per Workweek with Flextime
Flextime schedules are comprised of two components: core hours, and flexible bands of work hours. An example of a department/unit flextime schedule follows:
The standard daytime work schedule of a department/unit is a total of 9 hours in duration (8 work hours plus a 1-hour meal break) starting at 8:00 a.m. and extending to 5:00 p.m. The supervisor of the department/work unit has established core hours from 9:30 a.m. and 3:30 p.m. - a time where all employees in the unit/department must be at work (or on approved leave).
The supervisor has defined the two flexible bands of work hours as from 6:30 a.m. to 9:30 a.m. and from 3:30 p.m. to 6:30 p.m. Employees may flex their starting and ending times within these flexible bands as long as the daily work schedule of a total of 9 hours in duration is achieved. Through an arrangement with their supervisor, the employee's starting time can be changed from the standard work schedule to be as early as 6:30 a.m. or as late as 9:30 a.m. or anytime in between, and depart work as early as 3:30 p.m. or as late as 6:30 p.m., or anytime in between.
|
6:30 |
7:30 |
8:30 |
9:30 |
3:30 |
4:30 |
5:30 |
6:30 |
||||
|
|
|
|
|
|
|
|
|
|
|
|
|
|
flexible band |
core hours |
flexible band | |||||||||
|---|---|---|---|---|---|---|---|---|---|---|---|
[------------------------------------Employee A---------------------------------------------------------]
[-----------------------------------------------------------Employee B---------------------------------]
[--------------------------------------------------------------Employee C------------------------------]
Employee A works from 7:30 a.m. to 4:30 p.m.
Employee B works from 9:30 a.m. to 6:30 p.m.
Employee C works from 6:30 a.m. to 3:30 p.m.
- The above is an example and is not prescriptive. Core hours and flexible bands may be as limiting or as open as is required by the operations of the department/unit.
Supervisors establish core hours and flexible bands based on the operational needs of the work unit and positions, unit staffing, and requirements for coverage. An employee may not shift their scheduled workday to a scheduled day-off, such as a Saturday, in order to take the scheduled workday off.
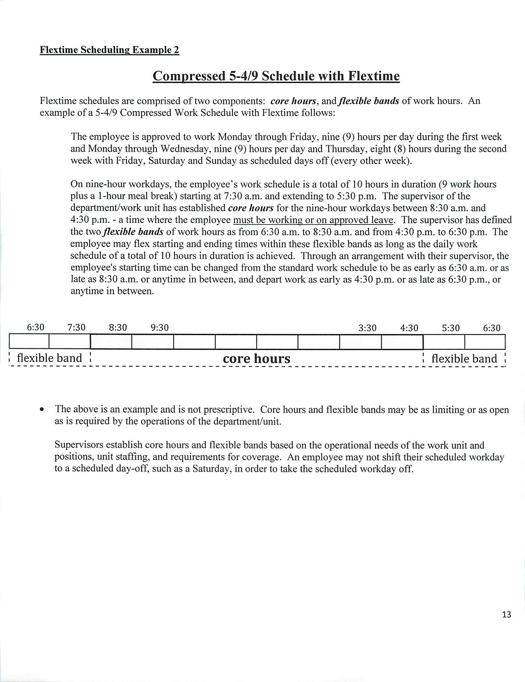
Flextime Scheduling Example 2
Compressed 5-4/9 Schedule with Flextime
Flextime schedules are comprised of two components: core hours, and flexible bands of work hours. An example of a 5-4/9 Compressed Work Schedule with Flextime follows:
The employee is approved to work Monday through Friday, nine (9) hours per day during the first week and Monday through Wednesday, nine (9) hours per day and Thursday, eight (8) hours during the second week with Friday, Saturday and Sunday as scheduled days off (every other week).
On nine-hour workdays, the employee’s work schedule is a total of 10 hours in duration (9 work hours plus a 1-hour meal break) starting at 7:30 a.m. and extending to 5:30 p.m. The supervisor of the department/work unit has established core hours for the nine-hour workdays between 8:30 a.m. and
4:30 p.m. - a time where the employee must be working or on approved leave. The supervisor has defined the two flexible bands of work hours as from 6:30 a.m. to 8:30 a.m. and from 4:30 p.m. to 6:30 p.m. The employee may flex starting and ending times within these flexible bands as long as the daily work schedule of a total of 10 hours in duration is achieved. Through an arrangement with their supervisor, the employee's starting time can be changed from the standard work schedule to be as early as 6:30 a.m. or as late as 8:30 a.m. or anytime in between, and depart work as early as 4:30 p.m. or as late as 6:30 p.m., or anytime in between.
|
6:30 |
7:30 |
8:30 |
9:30 |
3:30 |
4:30 |
5:30 |
6:30 |
||||
|
|
|
|
|
|
|
|
|
|
|
|
|
|
flexible band |
core hours |
flexible band | |||||||||
|---|---|---|---|---|---|---|---|---|---|---|---|
- The above is an example and is not prescriptive. Core hours and flexible bands may be as limiting or as open as is required by the operations of the department/unit.
Supervisors establish core hours and flexible bands based on the operational needs of the work unit and positions, unit staffing, and requirements for coverage. An employee may not shift their scheduled workday to a scheduled day-off, such as a Saturday, in order to take the scheduled workday off.





